Seanergy: Στα 49,4 εκατ. δολάρια ο τζίρος και μέρισμα 0,20 δολάρια ανά μετοχή το δ΄τρίμηνο 2025
Τα οικονομικά αποτελέσματα για το δ΄ τρίμηνο του 2025 και το περυσινό οικονομικό έτος, ανακοίνωσε σήμερα (17/2) Seanergy Maritime Holdings επιβεβαιώνοντας την ισχυρή της θέση στην αγορά Capesize και τη σταθερή δέσμευσή της για επιστροφή αξίας στους μετόχους, σύμφωνα με την ανακοίνωση.
Η εταιρεία ανακοίνωσε επίσης μέρισμα ύψους 0,20 δολαρίων ανά μετοχή για το δ΄ τρίμηνο του 2025, διαμορφώνοντας τα συνολικά μερίσματα του έτους στα 0,43 δολάρια ανά μετοχή.
Κατά το δ΄ τρίμηνο του 2025, η εταιρεία πραγματοποίησε καθαρό κύκλο εργασιών ύψους 49,4 εκατ. δολαρίων, έναντι 41,7 εκατ. δολαρίων για την ίδια περίοδο του 2024. Τα καθαρά κέρδη και τα προσαρμοσμένα καθαρά κέρδη για το τρίμηνο ήταν 12,5 εκατ. και 14,4 εκατ. δολάρια, αντίστοιχα, σε σύγκριση με τα καθαρά κέρδη ύψους 6,6 εκατ. δολαρίων και τα προσαρμοσμένα καθαρά κέρδη ύψους 7,1 εκατ. δολαρίων το τέταρτο τρίμηνο του 2024. Το προσαρμοσμένο EBITDA για το τρίμηνο ανήλθε σε 28,9 εκατ. δολάρια έναντι 20,4 εκατ. δολαρίων για την ίδια περίοδο του 2024. Ο μέσος ημερήσιος ναύλος (TCE) του στόλου ήταν 26.614 δολάρια.
Παρά την αστάθεια της αγοράς τους πρώτους μήνες του έτους, για το 2025, ο καθαρός κύκλος εργασιών ήταν 158,1 εκατ. δολάρια, έναντι των 167,5 εκατ. δολαρίων το 2024. Τα καθαρά κέρδη και τα προσαρμοσμένα καθαρά κέρδη του δωδεκαμήνου ήταν 21,2 εκατ. δολάρια και 26,7 εκατ. δολάρια, αντίστοιχα, σε σύγκριση με καθαρά κέρδη ύψους 43,5 εκατ. δολαρίων και προσαρμοσμένα καθαρά κέρδη ύψους 48,8 εκατ. δολαρίων για το 2024. Το προσαρμοσμένο EBITDA για το δωδεκάμηνο ανήλθε σε 81,7 εκατ. δολάρια έναντι των 98,4 εκατ. δολαρίων το 2024. Το ημερήσιο TCE του στόλου ανήλθε στα 20.937 δολάρια, ενώ ο μέσος όρος ημερήσιων λειτουργικών εξόδων των πλοίων (OPEX) ήταν 7.127 δολάρια.
Στις 31 Δεκεμβρίου του 2025, τα ταμειακά διαθέσιμα, ανήλθαν σε 62,7 εκατ. δολάρια. Τα ίδια κεφάλαια διαμορφώθηκαν σε 281,4 εκατ. δολάρια, ενώ οι χρηματοοικονομικές υποχρεώσεις σε 290,2 εκατ. δολάρια. Η λογιστική αξία του στόλου ανήλθε στα 506,7 εκατ. δολάρια.
Ο Σταμάτης Τσαντάνης, πρόεδρος και διευθύνων σύμβουλος της εταιρείας, δήλωσε:
«Το 2025 αποτέλεσε ακόμη μία χρονιά ισχυρών επιδόσεων για τη Seanergy, σηματοδοτώντας το πέμπτο συνεχόμενο έτος κερδοφορίας. Η στρατηγική μας ως pure-play Capesize εταιρεία και η συνετή διαχείριση του ισολογισμού, μάς επέτρεψαν να αξιοποιήσουμε αποτελεσματικά τη δυναμική της αγοράς.
Παραμένουμε προσηλωμένοι στη δημιουργία αξίας για τους μετόχους μας. Με συνολικά μερίσματα 0,43 δολάρια ανά μετοχή για το 2025 και 17 συνεχόμενα τριμηνιαία μερίσματα ύψους 2,64 δολαρίων ανά μετοχή ή 51,2 εκατ. δολάρια περίπου, επιβεβαιώνουμε τη δέσμευσή μας να ανταμείβουμε τους μετόχους μας με συνέπεια.
Οι προοπτικές της αγοράς Capesize παραμένουν θετικές. Η ισχυρή ζήτηση σε σιδηρομετάλλευμα και βωξίτη, η περιορισμένη προσφορά νέων πλοίων και η αύξηση των ton-miles συμβάλλουν σε ένα ευνοϊκό περιβάλλον, ενισχύοντας τη δυνατότητα εκτίμησης των μελλοντικών εσόδων. Με ποιοτικό στόλο, υψηλή έκθεση σε index-linked ναυλώσεις και ισορροπημένη χρηματοοικονομική μόχλευση, η Seanergy βρίσκεται στην κατάλληλη θέση για να επωφεληθεί από την περαιτέρω ενίσχυση της αγοράς.
Παράλληλα, προχωρούμε δυναμικά στο πρόγραμμα ανανέωσης του στόλου, με επενδύσεις ύψους 226 εκατ. δολάρια, για την ώρα, σε τρία eco νεότευκτα πλοία Capesize και Newcastlemax. Οι επενδύσεις αυτές ενισχύουν τη μακροπρόθεσμη ανταγωνιστικότητα και την περιβαλλοντική απόδοση του στόλου μας.
Αξιοποιώντας τα υψηλά επίπεδα αποτίμησης στη δευτερογενή αγορά, συμφωνήσαμε την πώληση του Capesize πλοίου MV Dukeship (2010) μέσω ενός 18μηνου bareboat charter με υποχρέωση αγοράς, εξασφαλίζοντας ελκυστική τιμή και ενίσχυση ρευστότητας. Συνεχίζουμε να αξιολογούμε επιλεκτικά ευκαιρίες αγορών και στοχευμένων πωλήσεων, με στόχο τη συνεχή ανανέωση και αναβάθμιση του στόλου μας, διατηρώντας τη μακροπρόθεσμη αξία για τους μετόχους μας.
Σε εμπορικό επίπεδο, για το πρώτο τρίμηνο του 2026, εκτιμούμε μέσο ημερήσιο TCE περίπου 25.300 δολάρια, που αντιστοιχεί σε υπεραπόδοση 14% έναντι του μέσου δείκτη της αγοράς AV5 BCI από την αρχή του έτους, ενώ περίπου το 77% των διαθέσιμων ημερών έχουν ήδη εξασφαλιστεί σε επίπεδα περί τα 24.739 δολάρια την ημέρα.
Εισερχόμαστε στο 2026 από θέση χρηματοοικονομικής ισχύος και στρατηγικής σαφήνειας, με ξεκάθαρη δέσμευση για συνεχή δημιουργία αξίας για τους μετόχους μας».
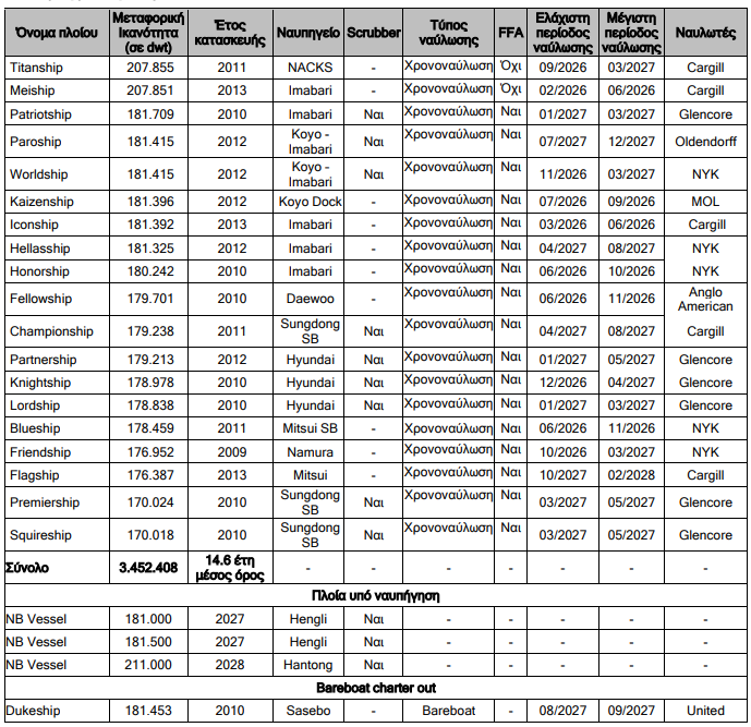
Ο στόλος της εταιρείας

Οι απόψεις που εκφράζονται στα σχόλια των άρθρων δεν απηχούν κατ’ ανάγκη τις απόψεις της ιστοσελίδας μας, το οποίο ως εκ τούτου δεν φέρει καμία ευθύνη. Για τα άρθρα που αναδημοσιεύονται εδώ με πηγή, ουδεμία ευθύνη εκ του νόμου φέρουμε καθώς απηχούν αποκλειστικά τις απόψεις των συντακτών τους και δεν δεσμεύουν καθ’ οιονδήποτε τρόπο την ιστοσελίδα.



